Теоретическая механика СамГТУ Динамика Задача Д1, вариант 46
Вариант:
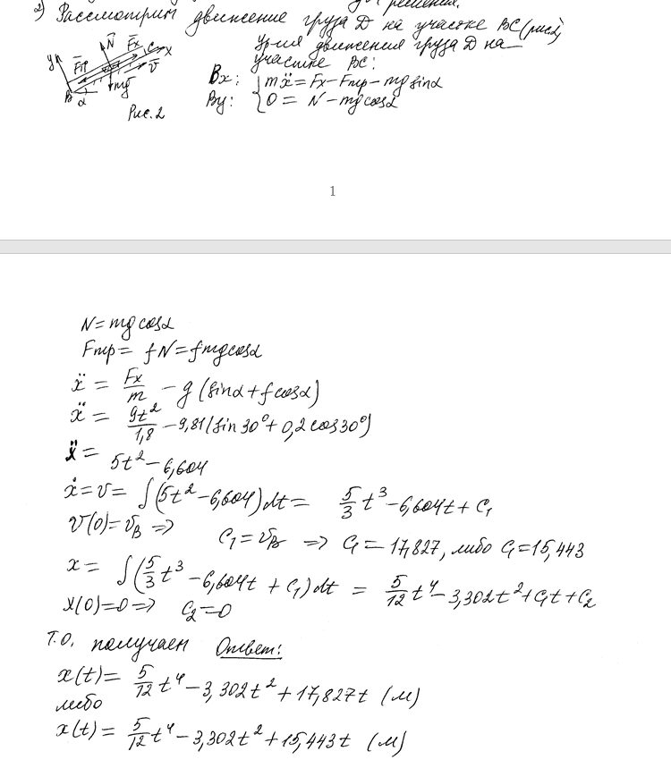
Описание
Учебная работа Теоретическая механика СамГТУ Динамика Задача Д1:
Если остались вопросы, звоните по тел.: 8 800-222-87-01 или пишите нам на почту order@reshim24.com
Для покупки учебной работы:
Оформите заказ через корзину.
Оплатите удобным для вас способом.
Получите весь материал на Ваш e-mail в короткие сроки.
Вы можете отслеживать и оплачивать заказы в Личном кабинете.
Если остались вопросы, звоните по тел.: 8 800-775-19-74 или пишите нам на почту order@reshim24.com
Также заказывают

Высшая математика СамГТУ (ТВ и МС) - 10 заданий 2015-2016 год, вариант 67 (без 9 задачи)
450 ₽

Высшая математика СамГТУ 1-2 курсы Теория функций комплексной переменной (ТФКП) 10 заданий (практикум Муратова , Лиманова 2016 г.), вариант 18
350 ₽

Эксплуатация промыслового электрооборудования СамГТУ Контрольная работа тема Вспомогательное электрооборудование компрессорных станций
1 100 ₽

Высшая математика СамГТУ Контрольная работа Теория функций комплексного переменного (ТФКП)- 12 заданий, вариант 12
600 ₽





