Электроника (Путько, Гайнуллин, Макаров), вариант 1
Вариант:
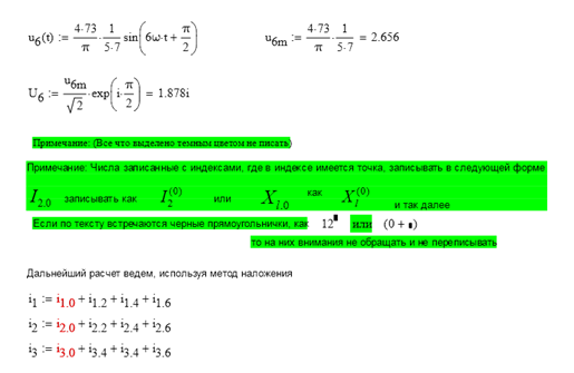
Описание
Посмотреть задание по ссылке>>
Учебная работа Электроника СамГУПС - Теоретические основы электротехники (Путько, Гайнуллин, Макаров) №4 Расчет линейных цепей при несинусоидальных ЭДС и тока:
Личном кабинете.
Если остались вопросы, звоните по тел.: 8 800-222-87-01 или пишите нам на почту order@reshim24.com
Для покупки учебной работы:
Оформите заказ через корзину.
Оплатите удобным для вас способом.
Получите весь материал на Ваш e-mail в короткие сроки.
Вы можете отслеживать и оплачивать заказы в Личном кабинете.
Если остались вопросы, звоните по тел.: 8 800-775-19-74 или пишите нам на почту order@reshim24.com
Также заказывают

Высшая математика СамГТУ 1-2 курсы Контрольная работа Числовые ряды, Ряды , ДУ, ТВ -11 заданий с вариантами решения 2015 год, вариант 5 (без задач 4,7,8,9)
170 ₽

Высшая математика СамГТУ 1-2 курсы Введение в анализ. Дифференцирование функций. (С.Н. Кубышкина, Е.Ю. Арланова, 2015), вариант 9
700 ₽

Высшая математика 2 семестр, Контрольная работа №2, вариант 704
500 ₽

Высшая математика СамГТУ 1-2 курсы Задания для подготовки к изучению курса высшей математики (С.Г. Корнфельд, 2013) (Самостоятельная работа №1)
400 ₽







