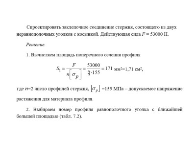
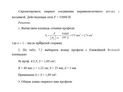
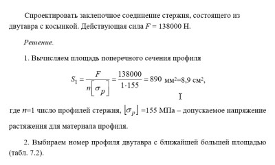
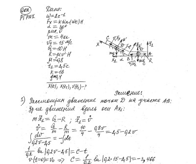
Расчетно-графические работы
Фильтр
Вопросы и ответы
Помощь с какими предметами вы оказываете?
Мы берем заказы практически на все предметы и дисциплины. Эксперт оказывает помощь только в той области, в которой он компетентен.Проходят ли работы проверку на антиплагиат?
Конечно. Все работы проводят только специалисты в этой области экстра-класса. Вы можете быть уверены в качестве выполненного задания.Как разместить заказ?
Мы берем заказы практически на все предметы и дисциплины. Эксперт оказывает помощь только в той области, в которой он компетентен.
Навигация
Фильтр


















































