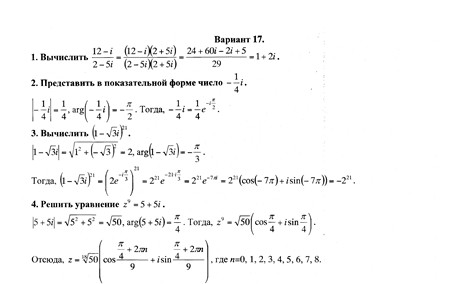
Высшая математика (КР №3 - 15 заданий), вариант 17

Описание
Учебная работа Высшая математика (КР №3 - 15 заданий), вариант 17:
Для покупки учебной работы:
Оформите заказ через корзину.
Оплатите удобным для вас способом.
Получите весь материал на Ваш e-mail в короткие сроки.
Вы можете отслеживать и оплачивать заказы в Личном кабинете.
Если остались вопросы, звоните по тел.: 8 800-775-19-74 или пишите нам на почту order@reshim24.com
Также заказывают

Эксплуатация промыслового электрооборудования СамГТУ Контрольная работа тема Электрооборудование передвижных электростанций
1 100 ₽

Высшая математика СамГТУ Контрольная работа (1 курс - 1 семестр - 5 заданий), вариант 9
300 ₽

Высшая математика - заочный факультет - 2 семестр - 12 заданий, 2011 год, вариант 16
350 ₽

Высшая математика СамГТУ 1-2 курсы Контрольная работа Числовые ряды, Ряды , ДУ, ТВ -11 заданий с вариантами решения 2014 год, вариант 4 (без заданий 4,11)
240 ₽

