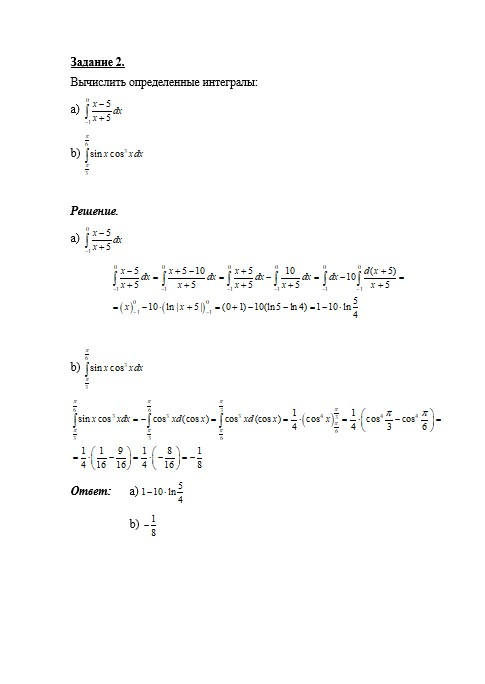
Высшая математика 2 семестр, Контрольная работа №2, вариант 357

Описание
Учебная работа Высшая математика 2 семестр, Контрольная работа №2, вариант 357:
Для покупки учебной работы:
Оформите заказ через корзину.
Оплатите удобным для вас способом.
Получите весь материал на Ваш e-mail в короткие сроки.
Вы можете отслеживать и оплачивать заказы в Личном кабинете.
Если остались вопросы, звоните по тел.: 8 800-775-19-74 или пишите нам на почту order@reshim24.com
Также заказывают

Высшая математика СамГТУ 1-2 курсы Контрольная работа Числовые ряды, Ряды с вариантами решения 9 заданий 2015 год, вариант 12 (без задания 9)
270 ₽

Высшая математика СамГТУ Контрольная работа Обыкновенные дифференциальные уравнения - Часть 2 (Г.А. Павлова, 2013) ДУ_Вариант 07
1 000 ₽

Высшая математика 2 семестр, Контрольная работа №2, вариант 704
500 ₽

Высшая математика СамГТУ 1-2 курсы Интегральное исчисление 5 заданий
200 ₽

