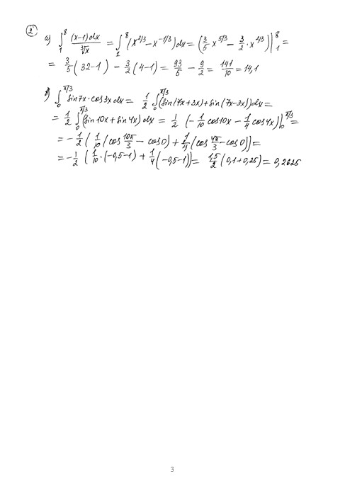
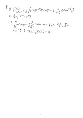
Высшая математика 2 семестр, Контрольная работа №2, вариант 352

Описание
Учебная работа Высшая математика 2 семестр, Контрольная работа №2, вариант 352:
Для покупки учебной работы:
Оформите заказ через корзину.
Оплатите удобным для вас способом.
Получите весь материал на Ваш e-mail в короткие сроки.
Вы можете отслеживать и оплачивать заказы в Личном кабинете.
Если остались вопросы, звоните по тел.: 8 800-775-19-74 или пишите нам на почту order@reshim24.com
Также заказывают

Высшая математика СамГТУ Контрольная работа Обыкновенные дифференциальные уравнения - Часть 2 (Г.А. Павлова, 2013) ДУ_Вариант 15
1 000 ₽

Эксплуатация промыслового электрооборудования СамГТУ Контрольная работа тема САМОЗАПУСК ЭЛЕКТРОДВИГАТЕЛЕЙ ПРОМЫСЛОВЫХ КОМПРЕССОРНЫХ СТАНЦИЙ
1 100 ₽

Высшая математика 2 семестр, Контрольная работа №2, вариант 324
500 ₽

Высшая математика СамГТУ 1-2 курсы Теория вероятностей 8 заданий, вариант 5
250 ₽

