Высшая математика 2 семестр, Контрольная работа №2, вариант 320

Описание
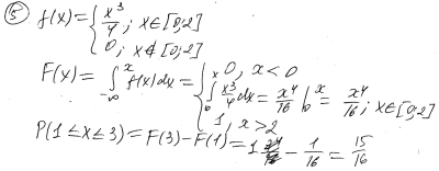
Учебная работа Высшая математика 2 семестр, Контрольная работа №2, вариант 320:
Для покупки учебной работы:
Оформите заказ через корзину.
Оплатите удобным для вас способом.
Получите весь материал на Ваш e-mail в короткие сроки.
Вы можете отслеживать и оплачивать заказы в Личном кабинете.
Если остались вопросы, звоните по тел.: 8 800-775-19-74 или пишите нам на почту order@reshim24.com
Также заказывают

Эксплуатация промыслового электрооборудования СамГТУ Контрольная работа тема Типовые узлы и схемы управления электродвигателями
1 100 ₽

Эксплуатация промыслового электрооборудования СамГТУ Контрольная работа тема Распределение электроэнергии на буровых установках
1 100 ₽

Высшая математика (ТВ и МС) - 10 заданий 2013-2014 год, 16 (без 8 задачи)
450 ₽

Высшая математика 2 семестр, Контрольная работа №2, вариант 620
500 ₽

